服務熱線
0769-28680919
153-2293-3971 / 177-0769-6579

1 概述
機器視覺鏡頭透鏡由于制造精度以及組裝工藝的偏差會引入畸變,導致原始圖像的失真,即圖像畸變。
在前一篇文章《機器視覺模型——投影矩陣》中描述了機器視覺系統成像模型,在這個模型里包含了相機內參(與像元尺寸、焦距、像素中心有關)以及相機外參(與相機在世界坐標系的位姿有關),這個模型是一個理想模型,或者說線性模型,沒有考慮到鏡頭透鏡產生的畸變所帶來的影響。
結合上文成像模型,可以把畸變理解成像點和物點之間的光線是彎曲的,如下圖所示。

圖中本來應該共線的三個點O、P、Q,現在由于透鏡的某種偏差原因而不共線了,Pcrt被成像在了P點,很明顯,此時的關系不再是前文討論的矩陣關系了,也就是說,在畸變存在的條件下,用前文的矩陣公式計算出來的結果是不正確的。
所以,在用這個視覺模型矩陣公式前,需要先把產生的畸變消除掉,與前文同樣原理,如果透鏡畸變能用一個數學模型或者數學公式來表達,我們就可以很方便地消除畸變,我們把這個模型稱為“畸變模型”。
2 透鏡的畸變
透鏡的畸變主要包括:徑向畸變、切向畸變、薄透鏡畸變等等,但最顯著的是徑向畸變和切向畸變,所以我們這個模型里只考慮這兩種畸變。同時,圖像的畸變是兩種畸變的組合,因此把整個畸變分解為徑向畸變分量和切向畸變分量。
2.1 徑向畸變
徑向畸變:就是沿著透鏡半徑方向分布的畸變,如我們所熟知的魚眼鏡頭產生的畸變、枕形畸變、桶形畸變等。


下圖為徑向畸變的分布,一般越遠離中心越嚴重。


2.2 切向畸變
切向畸變:是由于透鏡本身與相機傳感器平面(像平面)或圖像平面不平行而產生的,這種情況多是由于透鏡被粘貼到鏡頭模組上的安裝偏差導致,如下圖所示。


隨著相機制造工藝的大大提升,這種情況很少出現了,所以很多時候已經可以不考慮切向畸變。
下圖為切向畸變的分布


3 機器視覺畸變模型
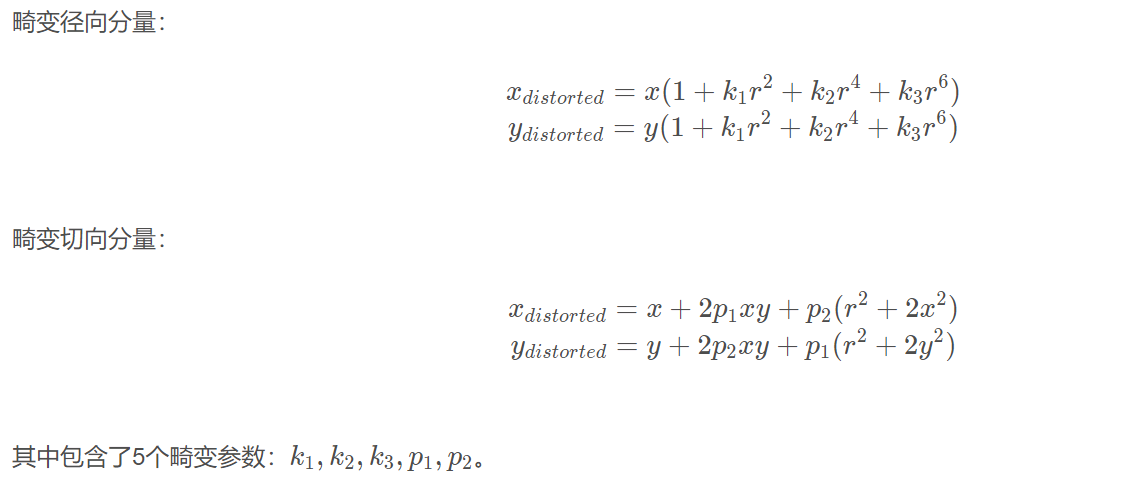
綜上,可以得到機器視覺系統透鏡畸變模型如下

對于一個給定的鏡頭成像系統,這5個畸變參數怎么獲得?這就涉及到“相機標定”,即需要根據一系列已知的若干對原成像點與畸變成像點的坐標值,帶入以上公式來解出,具體的限于篇幅這里不詳細討論。
————————————————
版權聲明:本文為CSDN博主「寒韓Glory」的原創文章,遵循CC 4.0 BY-SA版權協議,轉載請附上原文出處鏈接及本聲明。
原文鏈接:https://blog.csdn.net/hangl_ciom/article/details/106252235
FPC點膠表面缺陷視覺檢測系統
2025-12-14
FPC點膠表面缺陷視覺檢測系統的核心目標是對點膠工藝后的結果進行自動化、高精度的質量評估,確保膠水的形態、尺寸、位置和連續性符合工藝標準。
FPC點膠視覺定位系統
2025-12-14
這個系統可以拆解為三個核心部分:FPC、點膠工藝 和 視覺定位系統。其核心目標是解決柔性電路板在點膠加工中的高精度、高效率定位難題。
FPC點膠異物視覺檢測系統
2025-12-14
FPC點膠異物視覺檢測系統的核心目標是在點膠工序前后,自動檢測FPC(柔性電路板)表面是否存在影響點膠質量和產品可靠性的外來異物或缺陷。
膠囊錯裝/混料機器視覺檢測系統
2025-11-30
官方公眾號
官方抖音號Copyright ? 2022 東莞康耐德智能控制有限公司版權所有.機器視覺系統 粵ICP備2022020204號-1 聯系我們 | 網站地圖